Un articolo di approfondimento dal sito Ocean4Future a cura di Andrea Mucedola

Tutti conoscono, almeno per nome, il Radar, uno strumento elettronico che utilizza onde elettromagnetiche per la scoperta di oggetti. L’acronimo RADAR significa RAdio Detection And Ranging, ovvero un sistema per la scoperta attraverso delle onde radio di oggetti.
I radar trovano impiego in numerose discipline scientifiche ma sono ancora uno strumento importante se non essenziale per il controllo e la condotta della navigazione marittima ed aerea, consentendoci di rivelare la presenza di ostacoli (in gergo chiamati bersagli) in condizioni di visibilità ridotta se non nulla. I radar moderni integrano diverse funzioni come il MARPA, per la prevenzione delle collisioni in mare. Dopo aver acquisito il bersaglio (manualmente o automaticamente), il sistema calcola la sua rotta e velocità, il punto di avvicinamento più vicino (CPA) e il tempo al CPA. Questi parametri possono essere calcolati anche manualmente attraverso misurazioni cinematiche successive del bersaglio
Un principio semplice
Il funzionamento del radar è basato sull’emissione di energia elettromagnetica ad elevata potenza, sotto forma di impulsi, in una direzione e sulla ricezione di eventuali echi riflessi dai bersagli. Questi echi possono essere rappresentati su uno schermo, detto P.P.I. (Plain Position Indicator) o su di uno schermo (Video Display Unit) in modo da poterne valutare la distanza ed il rilevamento polare dalla nave.
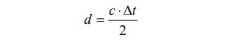
La distanza d del bersaglio è data dalla seguente formula:

dove c è la velocità della luce (pari a circa 300.000 Km/sec) e Δt è l’intervallo di tempo misurato dall’istante di emissione a quello di ricezione dell’eco.
I radar possono operare a diverse frequenze a secondo degli scopi prefissati. In campo nautico i radar impiegano frequenze UHF e SHF nella banda S e X. Gli impulsi sono emessi con un tempo di irradiazione (pulse) variabile tra 0,01 e 2 μs; il numero degli è detto cadenza e in genere varia da 500 a 4000 al secondo. La capacità dell’antenna di concentrare l’energia nel volume di irradiazione è detta guadagno (gain) e viene espresso in decibel (dB).

Lobi primario e secondari di un’emissione radar – estratto da https://meteorologytraining.tpub.com/14271/css/14271_61.htm
L’antenna del radar, impiegata sia nell’irradiazione dell’energia che nella ricezione dell’eco, è posta a bordo delle imbarcazioni e delle navi con una buona elevazione sia per aumentare la portata radar sia per motivi di sicurezza.

Schema di ricezione – autore sconosciuto – da appunti marina militare
Solitamente le antenne hanno forma di una sezione di parabola in maniera da concentrare il segnale nel punto focale ed essere altamente direttiva e sono costantemente rotanti (360 gradi) nel piano orizzontale. L’energia irradiata è polarizzata verticalmente nei radar in banda S (adoperati per la scoperta lontana) mentre può essere verticale, orizzontale e circolare nei radar in banda X, frequenze che consentono di discriminare meglio i bersagli bassi. I radar in banda X sono però maggiormente soggetti ai disturbi esterni e questo comporta che i disturbi dovuti al clutter, legati al mare o alla pioggia, devono essere corretti con particolari “filtri”.
Propagazione radar
Durante la propagazione le onde subiscono un’attenuazione tanto maggiore quanto più alta è la frequenza di emissione. Ciò influisce sulla portata radar, ovvero la distanza alla quale un’eco può essere rivelata dal radar. Una cosa importante da comprendere è che gli oggetti irradiati riflettono energia, con una frequenza uguale a quella ricevuta, in funzione della loro conducibilità elettrica (una grandezza fisica che misura la capacità di un materiale a condurre corrente elettrica, definita dall’inverso della sua resistività). Maggiore è la conducibilità maggiore sarà il segnale di risposta.

Per questo motivo a volte può essere difficile individuare imbarcazioni in legno o in vetroresina non essendo conduttrici di elettricità. Per ovviare a ciò (e non solo) vengono alzati sull’albero delle imbarcazioni dei risponditori radar passivi, in pratica dei riflettori angolari che amplificano i segnali radar rendendo visibili sia piccole imbarcazioni che altri segnali marittimi (boe, mede, segnali terrestri, ecc..).
Tra i sistemi radar vanno menzionati i risponditori attivi che, ricevendo gli impulsi emessi dai radar, li amplificano e quindi li ritrasmettono. Possono essere di due tipi: Radar marker e Radar beacon. In pratica un radar marker funziona come un radiofaro la cui emissione appare sull’indicatore radar come una traccia radiale, in maniera da poterne misurare il rilevamento.

Radar attivo beacon alimentato con pannelli solari – free image – autore sconosciuto estratto da https://www.pxfuel.com/en
Il radar beacon è invece un semplice trasponder che emette un segnale morse che ne consente la localizzazione. In altre parole assume la forma di una breve linea di punti e linee che formano un carattere Morse che si irradia dal centro del display. Di solito, la lunghezza della linea sullo schermo corrisponde all’equivalente di poche miglia nautiche.
La rappresentazione radar
Nel radar nautico si possono avere due tipi di rappresentazione: la relativa e la vera. Nella prima, la nave è rappresentata al centro del PPI e i bersagli rilevati sono identificabili dal loro rilevamento polare e dalla loro distanza istantanea. La loro velocità può essere ricavata attraverso un calcolo vettoriale (risultante dalla somma vettoriale della velocità della nave con quella del bersaglio). Inutile sottolineare che la rotta di una nave e la sua velocità sono informazioni importantissime per l’anticollisione.
La rappresentazione vera o true motion si ha quando sullo schermo la posizione della propria nave non rimane fissa al centro del PPI ma si muove con la rotta e la velocità effettiva della nave stessa. Perché sia valida è necessario che il sistema radar sia asservito alla girobussola di bordo. Per quanto concerne la velocità si può ricavare dal solcometro, da un ricevitore GPS o un qualsiasi sistema in grado di valutare il moto istantaneo della nave. Per completezza, il tradizionale schermo circolare è ormai stato sostituito da schermi digitali rettangolari, spesso integrati nel sistema di condotta della navigazione.
Portata radar
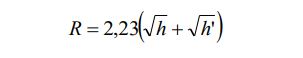
La portata del radar è la distanza massima alla quale un bersaglio può essere scoperto e dipende dalle specifiche tecniche del radar e dall’ambiente di propagazione. Si parla a volte di portata pratica, intesa come la massima distanza alla quale un oggetto di medie qualità riflettenti e in condizioni di propagazione standard può essere irradiato dalla energia elettromagnetica emessa. Essa dipende dalla rifrazione (coefficiente di rifrazione) e dalle altezze dell’antenna e dell’oggetto sul livello del mare. La rifrazione, che per l’energia radar è superiore a quella ottica, fa sì che l’orizzonte radar, in condizioni normali, sia uguale in miglia nautiche a

dove 2,23 è un coefficiente medio legato alle condizioni di propagazione dell’onda (variabile tra 2,16 e 2,60), h è l’altezza dell’antenna in metri
Se l’oggetto al radar è posto in una posizione elevata sull’orizzonte (ad esempio un faro), allora la portata diviene:

dove 2,23 è sempre il coefficiente medio usato nella formula precedente e h l’altezza dell’antenna … ma entra in gioco anche h’, ovvero l’altezza dell’oggetto.
In generale le prestazioni minime di un radar nautico devono rispondere alla Risoluzione 222 dell’I.M.O. e dalle relative norme legislative in accordo con la SOLAS ’74 che stabilisce, come per tutte le altre apparecchiature in uso sulle navi commerciali, le prestazioni di base e la simbologia che deve apparire sugli indicatori per il controllo del radar in corrispondenza dei vari comandi, manopole e pulsanti di regolazione.
Corsi di impiego
Sebbene l’uso del radar sia abbastanza intuitivo, in campo commerciale sono stati istituiti corsi obbligatori di addestramento della durata di trentacinque ore distribuite in cinque giorni (Legge 487 del 16.02.1995) cui poi si è aggiunto un ulteriore corso di addestramento all’uso del radar A.R.P.A. di cui parleremo in un prossimo articolo.
In anteprima sistema di yacht di navigazione radar – photo credit Petr Kratochvil da Yacht Radar Immagine gratis – Public Domain Pictures
Alcune delle foto presenti in questo blog possono essere state prese dal web, citandone ove possibile gli autori e/o le fonti. Se qualcuno desiderasse specificarne l’autore o rimuoverle, può scrivere a infoocean4future@gmail.com e provvederemo immediatamente alla correzione dell’articolo

Redazione OCEAN4FUTURE
E’ composta da oltre 60 collaboratori che lavorano in smart working, selezionati tra esperti di settore di diverse discipline. Hanno il compito di selezionare argomenti di particolare interesse, redigendo articoli basati su studi recenti. I contenuti degli stessi restano di responsabilità degli autori che sono ovviamente sempre citati. Eventuali quesiti possono essere inviati alla Redazione (infoocean4future@gmail.com) che, quando possibile, provvederà ad inoltrarli agli Autori.
Ammiraglio della Marina Militare Italiana (riserva), è laureato in Scienze Marittime della Difesa presso l’Università di Pisa ed in Scienze Politiche cum laude all’Università di Trieste. Analista di Maritime Security, collabora con numerosi Centri di studi e analisi geopolitici italiani ed internazionali. È docente di cartografia e geodesia applicata ai rilievi in mare presso l’I.S.S.D.. Nel 2019, ha ricevuto il Tridente d’oro dell’Accademia delle Scienze e Tecniche Subacquee per la divulgazione della cultura del mare. Fa parte del Comitato scientifico della Fondazione Atlantide e della Scuola internazionale Subacquei scientifici (ISSD – AIOSS).




